|
|
|
關于公布《貴州省普通高中學業水平選擇性考試科目等級賦分辦法》的公告 |
http://www.k7200.com 2022年12月31日 來源:貴州省招生考試院 |
|
現將《貴州省普通高中學業水平選擇性考試科目等級賦分辦法》公布如下:
根據《教育部關于普通高中學業水平考試的實施意見》(教基二〔2014〕10號)《省人民政府關于印發<貴州省深化考試招生制度改革實施方案>的通知》(黔府發〔2016〕9號)《省人民政府關于印發貴州省高考綜合改革實施方案的通知》(黔府發〔2021〕10號)精神,制定本辦法。
一、等級賦分辦法適用科目及實施范圍
等級賦分辦法適用于我省普通高中學業水平考試的思想政治、地理、化學和生物學4門選擇性考試科目。學生根據普通高等學校招生專業選考科目要求,結合自身興趣特長,在4門科目中選擇2門作為選擇性考試科目,即:在思想政治、地理、化學、生物學4門學科中選2門科目參加考試,每科滿分100分,以等級轉換分計入總分。
我省自2021年入學的普通高中一年級學生開始,在普通高中學業水平考試思想政治等4門選擇性考試科目中實施等級賦分辦法。
二、等級賦分辦法
(一)劃分等級,將卷面分轉換為等級。把每門選擇性考試科目的考生群體依據卷面分從高到低進行排序,依據考生群體成績的統計分布,以一定的人數比例將該選考科目考生群體劃分為若干個等級,每個考生按照其卷面分在該選考科目考生群體中的排序,對應到某個等級,從而將所有考生的卷面分轉換成等級。
(二)進行等級賦分,將等級轉換為等級分。設定等級分起點分、滿分的分值,對各個等級進行連續賦分,在每個等級內按1分1檔賦予每個等級一定的等級分數區間。根據每個考生的卷面分數及所在等級的等級分賦分區間,運用等比例轉換法則將其卷面分換算成等級分。同一科目等級相同的考生,如果卷面分較高,其對應的等級分也較高。
三、等級分的具體計算
(一)將每個選考科目的考生群體卷面分轉換為等級。把每個選考科目考生群體的卷面分從最高分到最低分順序排列,按照考生群體卷面分的統計分布所確定人數比例(見等級分換算對應表)將該選考科目考生群體劃分為5個群體,每個群體考生賦予1個等級,整個考生群體的卷面分被轉換為從高到低A、B、C、D、E共5個等級,每個考生的等級由其在該選考科目群體的排位確定。
(二)將等級轉換為等級分。等級分的滿分值為100分、起點分值為30分,從A至E每個等級按照1分1檔的分數間隔對各個等級進行連續賦分,各個等級的等級分賦分區間從14到10分不等(見等級分換算對應表)。依此,把每個選考科目考生群體的等級成績從高到低(從A到E)轉換為100至30分的等級分數,每個等級分數都在一定的等級分區間內。根據每個考生的卷面分數及其所在等級的等級賦分區間,運用等比例轉換法則將其卷面分換算成等級分。在A、B、C、D、E的每個等級內卷面分不同的考生,根據等比例轉換法則可計算得出不同的等級分,從而確保卷面分較高的考生換算得到較高的等級分。
1.等級換算對應關系。各等級及其所占人數比例、等級分賦分區間對應關系如表所示。

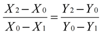
2.等級分換算公式。根據等比例轉換法則計算每個考生等級分的公式為:

其中,X1、X2分別表示某個等級所對應卷面分區間的下限和上限;
Y1、Y2分別表示相應等級的等級分賦分區間的下限和上限;
X0表示相應等級內某考生的卷面分;
Y0表示相應等級內某考生的等級分。
根據公式,可以算出每個考生的等級分。
根據公式,考生的卷面分和等級分是線性相關的。在考生卷面分轉換成等級和等級分的過程中,考生在相應選考科目考生群體中的成績排序不會發生變化。
(三)成績使用。選擇性考試成績當年高考錄取有效,計入考生高考錄取總成績,作為高校招生錄取的依據。
|
關于貴州高考更多的相關文章請點擊查看  |
|
特別說明:由于各方面情況的不斷調整與變化,華禹教育網(www.k7200.com)所提供的信息為非商業性的教育和科研之目的,并不意味著贊同其觀點或證實其內容的真實性,僅供參考,相關信息敬請以權威部門公布的正式信息為準。 |
|
|
|