|
|
|
云南省2025年普通高校招生考試安排和錄取工作實施方案解讀 |
http://www.k7200.com 2025年1月23日 來源:云南省招生考試院 |
|
我省發布了《云南省2025年普通高校招生考試安排和錄取工作實施方案》(以下簡稱《考試和錄取方案》),現就相關內容解讀如下。
一、制定《考試和錄取方案》的背景和目的是什么?
云南省為第五批高考綜合改革省份,根據《國務院關于深化考試招生制度改革的實施意見》(國發〔2014〕35號)和《云南省人民政府關于印發〈云南省深化普通高等學校考試招生綜合改革實施方案〉的通知》(云政發〔2022〕37號)精神以及教育部有關規定,云南省從2022年秋季入學的普通高中一年級學生開始,實行基于全國統一高考和高中學業水平選擇性考試成績、參考綜合素質評價的普通高校考試招生模式。云南省在充分借鑒了第三批、四批改革省份經驗做法的基礎上,按照有利于促進學生全面健康發展、有利于科學選拔培養人才、有利于維護社會公平的原則,結合我省實際,制定了《云南省2025年普通高校招生考試安排和錄取工作實施方案》。
二、云南省2025年普通高校招生統一考試模式和科目是什么?
云南省2025年普通高考實行“3+1+2”模式,“3”為語文、數學、外語(英語、俄語、日語、法語、德語、西班牙語中的一種,含聽力)3門普通高等學校招生全國統一考試(以下簡稱全國統考)科目,“1”為選擇性考試首選科目(以下簡稱首選科目),考生從物理和歷史中必須且只能選擇1門;“2”為選擇性考試再選科目(以下簡稱再選科目),考生從化學、地理、思想政治、生物學中選擇2門。全國統考科目使用全國統一試卷,由教育部統一命題,首選科目和再選科目由云南省自主命題。
在“3+1+2”的模式下,考生共有12種考試科目組合選擇,擴大了考生的選擇面,促進了考生個人愛好、興趣、特長發展,增強了考生的學習動力,體現了以人為本、學其所好、考其所長的原則,更加符合教育發展規律和人才成長規律。
三、考生報考科類有哪些變化?
2025年,云南省普通高校招生考試分為普通類、藝術類和體育類,不再分文、理科。普通類根據考生首選科目不同,分為物理科目組合和歷史科目組合,藝術類、體育類考生不區分首選科目。
四、云南省2025年統一高考時間如何安排?
2025年,云南省統一高考時間安排在6月7日——9日。其中,全國統考科目語文考試時長為150分鐘,數學、外語(含聽力)考試時長均為120分鐘,選擇性考試每科考試時長均為75分鐘。具體考試時間安排見下表。

藏語文加試專業考試時間另行安排。
全國統考科目考試安排以教育部統一公布為準,如有調整,選擇性考試科目考試安排相應調整。
五、云南省2025年統一高考成績是如何構成的?
(一)文化成績
普通類、藝術類和體育類文化成績由3門全國統考科目成績和3門選擇性考試科目成績組成,滿分750分。其中,全國統考科目每門滿分150分、選擇性考試科目每門滿分100分。全國統考科目語文、數學、外語和首選科目物理、歷史以原始成績計入考生高考文化成績。再選科目化學、地理、思想政治、生物學進行等級賦分轉換后以等級分計入考生高考文化成績,原始成績不予公布。
考生按照有關規定享受政策性照顧加分的,按規定進行使用。
(二)藝術類、體育類專業省級統考成績
藝術類、體育類專業省級統考成績由專業統考科目(科類)成績組成。藝術類專業省級統考包括音樂類、舞蹈類、表(導)演類、播音與主持類、美術與設計類和書法類6個科類,各科類滿分均為300分。
體育類專業省級統考滿分為100分。
六、為什么再選科目化學、地理、思想政治、生物學考試成績要實行等級賦分后計入考生總成績?
2025年改革后,高考錄取按照物理科目組合和歷史科目組合分列招生計劃、分別劃線、分別投檔錄取,選擇物理科目或歷史科目的考生將使用同一試卷,考試群體相同,成績具有可比性,因此使用原始分計入考生總成績。但由于再選科目化學、地理、思想政治、生物學試題難度差異和報考相應科目的考生群體不同,選考科目的原始分不具有可比性。
例如:小王和小李兩個同學首選科目都選擇了物理,小王再選科目選擇了化學和生物學,小李選擇了化學和地理,如果小王的生物學考了90分,小李的地理考了80分,不能簡單地說小王成績比小李更好,因為這兩個科目試卷不同,試題難易程度可能不同,選考人數也可能不同,若簡單將他們各科成績相加計入考生總成績并進行比較,既不科學也不公平。為了解決這個問題,就需要等級賦分,即需要將不同再選科目的原始分按照一定規則通過轉換得到等級分,以解決再選科目的原始分不具有可比性的問題。等級賦分轉換后考生再選科目成績排隊順序與原始分排隊順序保持不變,最大限度地保證高考的科學性和公正性。
七、等級賦分的規則是什么?
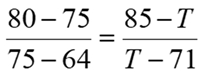
等級賦分以30分作為賦分起點,滿分為100分。將化學、地理、思想政治、生物學4門再選科目考生的原始分從高到低劃分為A、B、C、D、E共5個等級,各等級人數所占比例分別約為15%、35%、35%、13%和2%。將A至E等級內的考生原始成績,按照等比例轉換規則,轉換到100——86分,85——71分,70——56分,55——41分和40——30分五個等級分數區間。根據轉換公式計算,四舍五入得到考生的等級分。轉換后的成績1分1檔,考生排序不變。
例如,假設某同學化學科目卷面原始分為75分,按照當年卷面分排序后,化學科目B等級的卷面分分布區間為80——64分,因此該同學化學科目的等級比例應劃分到B等級,該等級賦分區間為85——71分,按照轉換公式:

該同學化學學科的等級分為:

解得:T≈81 ,該同學化學科目等級分為81分。賦分轉換示意圖如下:

八、2025年高考招生計劃如何編制?
2025年,云南省普通高校招生分本科、高職專科2個層次,按照普通類、藝術類、體育類3個類別分別編制并公布招生計劃。可不編制分省計劃的特殊類型招生,按有關規定執行。
(一)招生院校根據招生專業人才培養對學生學科專業基礎的需要,在物理、歷史2門首選科目中提出不超過1門科目要求,在化學、地理、思想政治、生物學4門再選科目中提出不超過2門科目要求。
(二)招生院校可設置1個或多個院校專業組,每個院校專業組內可包含數量不等的專業。同一院校選考科目要求相同的專業可以設在同一個院校專業組內,也可以分設在不同的院校專業組中,平行志愿批次的每個院校專業組內各專業的選考科目要求必須相同。院校在安排院校專業組時,原則上同專業組內各專業要求(含性別、身體條件、外語語種等)應相同。
(三)普通類專業分物理科目組合、歷史科目組合,分別編制院校專業組及招生專業計劃。藝術類、體育類專業統一編制院校專業組及招生專業計劃,不區分首選科目。
(四)高職專科批次除部分有特殊要求的專業需單獨編組外,其他專業原則上只分普通類(物理)、普通類(歷史)、藝術類、體育類4個大類組合。
(五)學校的辦學性質分為:公辦、民辦、獨立學院、中外合作辦學、內地與港澳臺地區合作辦學。其中,民辦院校和獨立學院將在云南省招生考試院編制的《2025年云南省普通高等學校招生計劃》進行特別標注,以便考生知悉擬填報院校的辦學性質,并結合自身情況,進行合理填報。
九、各類別錄取控制分數線是如何劃定的?
各類別各層次劃線時,均按照招生計劃、成績分布、生源情況等因素進行劃定。
(一)普通類劃線
普通類按照物理科目組合、歷史科目組合分別劃定本科層次、高職專科層次錄取控制分數線。
本科特殊類型資格線按照物理科目組合、歷史科目組合分別劃定,用于強基計劃、高校專項計劃、軍隊院校招生等部分特殊類型招生。
高水平運動隊錄取控制分數線按照教育部有關規定執行。民航飛行技術專業的錄取控制分數線按照教育部、中國民用航空局有關規定執行。
(二)藝術類劃線
藝術類按照物理科目組合、歷史科目組合分別劃定各類別(方向)本科層次、高職專科層次文化成績錄取控制分數線,不區分物理科目組合、歷史科目組合分別劃定各類別(方向)省級統考專業成績錄取控制分數線。
藝術類專業校考、戲曲類省際聯考文化成績要求按照教育部有關規定執行。
(三)體育類劃線
體育類按照物理科目組合、歷史科目組合,分別劃定本科層次、高職專科層次文化成績錄取控制分數線。
十、什么是本科特殊類型資格線?
本科特殊類型資格線是為滿足強基計劃、高校專項、軍隊院校招生等特殊類型招生單獨劃定的錄取資格分數線。改革前,這些特殊類型招生參照“一本線”執行,改革后不再劃定“一本線”,因此需要單獨劃定本科特殊類型資格線。
十一、什么是藝術類統考各類別(方向)專業成績合格線和錄取控制分數線?
藝術類各類別(方向)統考專業成績合格線是考生參加專業校考的基本資格線,是根據專業統考成績、綜合生源等情況按照一定比例分類別(方向)劃定的,與專業統考成績一并公布。考生專業統考成績達到云南省相應類別(方向)統考專業成績合格線后,方可按招生院校報考條件和有關規定報名參加專業校考。
藝術類各類別(方向)本科、高職專科專業成績錄取控制分數線是云南省藝術類本科、高職專科批投檔錄取時的專業成績最低分數要求,在高考成績公布時,與文化成績錄取控制分數線同期發布。
十二、2025年高考錄取批次和志愿如何設置?
普通類設置提前本科批、本科批、提前高職專科批、高職專科批4個批次。藝術類、體育類分別設置提前本科批、本科批、高職專科批3個批次。強基計劃安排在提前本科批錄取開始前投檔錄取。同一批次的藝術類和體育類錄取在普通類錄取開始前進行。保送生、少年班、運動訓練、武術與民族傳統體育專業單獨招生、中國消防救援學院單獨招生、殘障考生單獨招生、港澳高校單獨招生等部分特殊類型招生按照相關規定錄取。
志愿設置采用“院校+專業組”模式,一個院校專業組包含若干個專業,實行單志愿投檔和平行志愿投檔兩種模式。1個院校專業組即為1個投檔志愿單位,并根據情況設置“專業服從院校調劑標志”。
具體情況如下:
(一)普通類
共設置4個批次,包括提前本科批次、本科批次、提前高職專科批次和高職專科批次,按順序依次錄取。

(二)藝術類
共設置3個批次,包括提前本科批、本科批和高職專科批,按順序依次錄取。

(三)體育類
共設置3個批次,包括提前本科批、本科批次和高職專科批次,按順序依次錄取。

十三、如何理解“院校專業組”志愿模式?
“院校專業組”指的是某一高校對考生選考科目要求相同的專業的組合。一所高校可設置1個或多個院校專業組,每個院校專業組內可包含數量不等的專業。同一院校專業組內各專業對考生的選考科目要求相同,選考科目要求不同的專業必須分別設置院校專業組。當然,同一院校選考科目要求相同的專業也可分設在不同的院校專業組中。
例如:“A大學04專業組”選考科目要求首選科目為物理,再選科目不限,包括通信工程等若干專業;“A大學05專業組”選考科目要求首選科目為物理,再選科目為化學和生物學,包括臨床醫學等若干專業。某考生選考科目為“物理+化學+生物學”,擬報考A大學通信工程和臨床醫學兩個專業,則要占用兩個志愿位置,須同時填報“A大學04專業組”和“A大學05專業組”兩個院校專業組志愿,并分別在兩個院校專業組中填報通信工程、臨床醫學專業志愿。
十四、普通類為什么不再區分一本、二本?
《國務院關于深化考試招生制度改革的實施意見》明確提出要“創造條件逐步取消高校招生錄取批次”。合并本科批次,體現了國家改革的總體方向,能夠更好滿足高校、考生及社會發展需要。
從高校的角度考慮,有利于更好地發揮高校辦學主體作用,激勵高校注重內涵發展,發揮自身優勢,專注特色專業人才培養,進而提升高校辦學水平和核心競爭力。
從考生的角度考慮,有利于進一步增加考生選擇范圍,引導考生結合個人志向、學科興趣、個性特長,更理性地選擇自己比較心儀的學校和專業,促進考生健康成才成長。
從高中的角度考慮,有利于高中學校破除盲目追求“一本升學率”的情況,促進高中學校更好地立足校情,明確定位,創建特色。
從社會的角度考慮,有利于扭轉簡單用錄取批次評價不同類型高校的片面導向,有利于促進高校畢業生平等就業,推動高等教育公平發展。
十五、2025年高考志愿設置、填報與改革前有什么不同?
一是志愿單位的變化。改革前以“院校”為志愿填報單位,1所院校即為1個志愿單位,按“1所院校+多個專業”的方式進行志愿填報,在院校內選擇專業志愿和是否服從專業調劑。改革后以“院校專業組”為志愿填報單位,1個院校專業組即為1個志愿單位,按“院校專業組+專業(類)”的方式進行志愿填報,在“院校專業組”內選擇專業志愿和是否服從專業調劑。
二是平行志愿數量的變化。以普通類為例,改革前一本批設置10個院校志愿,二本及預科批設置10個院校志愿,改革后包含原一本批和二本及預科批的本科批B段設置了40個院校專業組志愿;高職專科批原設置10個院校志愿,現設置20個院校專業組志愿。原來每個院校志愿下一般設置6個專業志愿,現在每個院校專業組下一般設置10個專業志愿。總體來看,增加了平行志愿數量和可填報專業數量。
三是填報要求的變化。改革前,考生按照自己所報考的科類(理工類或文史類)填報相應的院校志愿。改革后,在填報志愿時,由于增加了院校選考科目要求,考生須按照院校專業組對應的選考科目要求填報志愿。
十六、提前本科批B段和D段為何要在同一批次實行平行志愿?
考生填報提前本科批B段軍隊院校、公安院校公安專業和D段國家公費師范生、全國重點馬克思主義學院的馬克思主義理論專業、香港特別行政區有關高校等,須具備相應的報考資格,在“院校專業組”志愿模式下,同一批次實行平行志愿,更加尊重考生選擇權利,對考生填報志愿更友好,進一步降低滑檔風險。考生可結合自身實際選擇填報,增加錄取機會。
十七、志愿填報時,考生選考科目如何對應高校要求?
高校依據教育部有關要求,提出本校招生專業(類)的選考科目要求,考生應對照高校招生專業(類)的選考科目要求,精準報考。
一是考生的首選科目須符合高校對首選科目的要求。選考物理的考生只能填報物理科目組合下的院校和專業,選考歷史的考生只能填報歷史科目組合下的院校和專業。
二是再選科目要求。高校對再選科目的要求分為3種:
1.不提再選科目要求的,符合首選科目要求的考生均可報考;
2.提出1門再選科目要求的,考生符合首選科目要求且必須選考該科目方可報考。如某校A專業對化學科目提出要求,符合首選科目要求且選考化學的考生才能報考;
3.提出2門再選科目要求的,考生符合首選科目要求且必須同時選考這2門科目方可報考。如某校B專業對化學和生物學科目提出要求,符合首選科目要求且同時選考化學和生物學科目的考生才能報考。
填報志愿期間,考生可通過云南省招生考試院編制的《2025年云南省普通高等學校招生計劃》查詢在滇招生高校院校專業組的選考科目要求。
十八、如何查詢考生位次信息、往年錄取情況等參考數據,合理填報志愿?
為方便考生合理填報志愿,云南省招生考試院官網(www.ynzs.cn)、官微將公布2025年考生成績位次信息。
志愿填報期間,云南省招生考試院官網(www.ynzs.cn)將開通“高考志愿填報輔助系統”。考生可使用報名時注冊的手機號接收驗證碼后登錄該系統,查詢近三年在滇招生高校各專業(分文、理)的錄取人數、錄取分數、招生計劃、位次等信息,2025年在滇招生院校名稱、專業(類)名稱及選科要求等參考信息。考生也可以通過云南省招生考試院編制的《2025年云南省普通高等學校招生填報志愿指要》查閱近三年在滇招生院校錄取有關數據。
十九、考生填報志愿時應注意哪些事項?
考生要認真做好填報志愿的準備工作,仔細閱讀擬報考高校的招生章程和云南省招生專業目錄,了解有關招生政策和要求。根據自己的成績、志向、體檢結論等,結合招生院校近年來各專業招生錄取分數及排位情況,科學合理填報志愿。應增強信息安全意識,妥善保管個人身份證號、準考證號和接收到的手機驗證碼等信息,不要委托他人填報,對填報志愿信息的真實性和準確性負責,志愿填報完成后一定要及時保存。考生填報志愿時務必仔細閱讀相關院校的招生章程規定。因未認真閱讀院校招生章程,填報了不符合報考條件的志愿,導致不能被錄取的責任由考生自負。
填報軍事、公安等院校(專業)志愿的考生需參加相應的政治考核(考察)、面試、軍檢(體檢)、體能測評等,經相關部門確認合格后才具備投檔資格;填報藝術類、體育類專業志愿的考生高考文化成績和專業統考成績均應達到相應的錄取控制分數線;填報國家專項計劃、地方專項計劃、高校專項計劃、免費醫學生、公費師范生、優師計劃、高水平運動隊、少數民族預科班等專業志愿的考生須具備相應的報考資格;填報高校專項計劃、綜合評價招生、高水平運動隊等專業志愿的考生須經過相應測試選拔程序和資格公示。按照教育部規定,往年被專項計劃錄取后放棄入學資格或退學的考生,不再具有專項計劃錄取資格。
志愿填報安排在高考成績公布后進行,考生應在規定時間內登錄指定網站及志愿填報系統完成志愿填報。
二十、藝術類考生是否可以兼報多個藝術類別(方向)專業?
藝術類考生在高考報名時可兼報多個藝術類別(方向),填報志愿時,藝術類考生可根據自身專業成績和意愿填報藝術類專業志愿,也可兼報普通類專業。
二十一、體育類考生是否可兼報普通類專業?
體育類考生可根據自身專業成績和意愿填報體育類專業志愿,也可兼報普通類專業。
二十二、考生是否可以兼報藝術類和體育類專業?
考生不能兼報藝術類和體育類專業。考生同時報考了藝術類專業考試和體育類專業考試的,須在填報志愿前明確填報藝術類或體育類專業。
二十三、志愿填報截止后還可以補填志愿嗎?
填報志愿應及時保存,志愿填報截止時間一到,系統將關閉填報功能,不接受補填志愿。因此,考生應合理安排填報時間,盡量避免在臨近截止時間前填報。
二十四、2025年按照什么規則進行投檔?
2025年投檔時,根據考生成績、招生計劃數和生源情況,在錄取控制分數線上,以考生志愿為投檔依據,將投檔成績按一定規則排序后從高到低投檔。所有高考加分項目及分值均不適用于不安排分省招生計劃的招生項目。
設置1個院校專業組志愿的批次(段),適用單志愿投檔規則。設置多個院校專業組志愿的批次(段),適用平行志愿投檔規則。
1.單志愿投檔規則
按照與高校確定的投檔比例(原則上在1:1.2以內)對符合條件的考生進行投檔。投檔成績相同、院校專業組志愿相同的考生不受投檔比例的限制,達到高校投檔線的將全部投出。投檔完成后,對未完成計劃或因退檔產生計劃差額的高校,將符合條件且填報原始志愿的考生進行補充投檔。其中,藝術類校考、戲曲類省際聯考等不編制分省計劃的專業,將填報該批次(段)志愿且符合相關要求的考生信息提供給有關高校,由高校根據招生章程確定的錄取規則錄取。
2.平行志愿投檔規則
按照“分數優先、遵循志愿”的原則進行投檔。根據考生成績、志愿順序和院校專業組招生計劃,原則上按照線上生源數和招生計劃數1:1的比例,從高分到低分投檔給高校,經高校申請,可按照與高校確定的投檔比例進行投檔。投檔完成后,未完成的招生計劃將統一公布,重新公開征集志愿,并按征集志愿進行投檔。
二十五、2025年投檔錄取有什么變化?
2025年,云南省普通高校招生依據全國統考科目和選擇性考試科目成績,參考高中階段綜合素質評價,擇優錄取考生。與改革前相比,主要變化為:
1.由投檔到院校變為投檔到院校專業組。
2.專業調劑范圍不同。改革前,考生選擇了專業服從院校調劑時,專業志愿可在同一招生院校(分文、理科)內的專業間進行調劑。改革后,只能在同一個院校專業組內的專業間進行專業調劑。
二十六、普通類平行志愿如何確定考生位次?
普通類平行志愿以考生高考文化總成績從高分到低分確定投檔位次順序,按照物理科目組合、歷史科目組合,分別投檔錄取。
高考文化總成績相同時,根據考生文化課實考成績(不含照顧加分,下同)從高分到低分確定投檔位次順序。文化課實考成績仍相同時,則按語文、數學、首選科目成績、再選科目總成績、再選科目單科最高成績依次、逐項比較,并按比較結果排列出先后順序。如果所有科目分數都相同,則按同分數考生處理。
二十七、藝術類、體育類平行志愿如何確定考生位次?
藝術類和體育類平行志愿以考生填報院校(專業)的綜合成績進行排序確定投檔位次順序。
考生在排序中出現計算結果相同時,按專業成績從高到低排序。如專業成績相同,則按文化總成績超出該批次文化成績錄取控制線的分值從高到低排序。如果超出該批次文化成績錄取控制線的分值相同,則按照顧加分分值排序(優先錄取照顧加分分值較低考生)。如果照顧加分分值相同,則按語文、數學、首選科目成績、再選科目總成績、再選科目單科最高成績依次、逐項比較,并按比較結果排列出先后順序。如果所有科目分值都相同,則按同分數考生處理。
藝術類綜合排序成績有3種計算方式,招生院校在編制招生計劃時每一個招生專業須選定其中一種進行排序,招生院校選定的綜合成績計算方式將在《2025年云南省普通高等學校招生計劃》上進行公布。3種計算方式如下:
圖片
體育類綜合排序成績一般為考生專業成績,院校有特殊要求的,按照院校要求執行。
二十八、藝術類兼報多個專業類別(方向)的考生投檔順序是如何規定的?
藝術類兼報多個專業類別(方向)的考生,錄取時將按照所填報的志愿順序依次檢索投檔。
二十九、兼報普通類志愿的藝術類、體育類考生投檔順序是如何規定的?
兼報普通類志愿的藝術類、體育類考生,同一批次錄取時先按照其填報的藝術類、體育類志愿投檔。在該批次其所填報的藝術類、體育類志愿錄取結束后,未被藝術類、體育類錄取的,繼續參與該批次普通類投檔、錄取。
三十、如何讓考生了解和適應新高考?
為讓考生盡早熟悉新高考的考試模式,確保高考改革平穩落地,云南省已于2025年1月3——5日,與第五批高考綜合改革省區同步開展了適應性測試。
適應性測試成績公布后還將嚴格按照普通高考規范,全流程組織模擬計劃編制、模擬志愿填報和模擬投檔錄取等演練。考生和家長要把適應性演練當作一次難得的熟悉志愿填報模式的機會。特別提醒:因模擬計劃、模擬志愿與2025年正式高考招生計劃、志愿填報不能等同,模擬錄取結果將不予公布。
|
關于云南高考更多的相關文章請點擊查看  |
|
特別說明:由于各方面情況的不斷調整與變化,華禹教育網(www.k7200.com)所提供的信息為非商業性的教育和科研之目的,并不意味著贊同其觀點或證實其內容的真實性,僅供參考,相關信息敬請以權威部門公布的正式信息為準。 |
|
|
|